We have completed the NCERT/CBSE Solutions chapter-wise for Class 9 Science Chapter 8 Motion with Answers by expert subject teacher for latest syllabus and examination. Prepare effectively for the exam taking the help of the Class 9 Science NCERT Solutions PDF free of cost from here. Students also can take a free NCERT Solutions of Motion. Each question has right answer Solved by Expert Teacher. Download the Science NCERT Solutions with Answers for Class 9 Science Pdf and prepare to help students understand the concept very well.
NCERT Solutions for Class 9 Science Chapter wise
Questions
Q1. An object has moved through a distance. Can it have zero displacement? If yes, support your answer with an example.
Answer: Yes, an object can have zero displacement even when it has moved through a distance. This happens when final position of the object coincides with its initial position. For example, if a person moves around park and stands on place from where he started then here displacement will be zero.
Q2. A farmer moves along the boundary of a square field of side 10 m in 40 s. What will be the magnitude of displacement of the farmer at the end of 2 minutes 20 seconds from his initial position?
Answer:
Given,
Side of the given square field = 10m
Hence, the perimeter of a square = 40 m
Time taken by the farmer to cover the boundary of 40 m = 40 s
So, in 1 s, the farmer covers a distance of 1 m
Now,
Distance covered by the farmer in 2 min 20 sec = 1 x 140 = 140 m
So,
The total number of rotations taken by the farmer to cover a distance of 140 m = total distance/perimeter
= 3.5
At this point, let us say the farmer is at point B from the origin O
Therefore, from Pythagoras theorem, the displacement s = √(10²+10²)
s = 10√2
s = 14.14 m
Q3. Which of the following is true for displacement?
(a) It cannot be zero.
(b) Its magnitude is greater than the distance travelled by the object.
Answer: None of the statement is true for displacement. First statement is false because displacement can be zero. Second statement is also false because displacement is less than or equal to the distance travelled by the object.
Questions
Q1. Distinguish between speed and velocity.
Answer:
| Speed | Velocity |
| 1) Speed is the distance travelled by an object in a given interval of time. 2) Speed = distance / time 3) Speed is scalar quantity i.e. it has only magnitude. | 1) Velocity is the displacement of an object in a given interval of time. 2) Velocity = displacement / time 3) Velocity is vector quantity i.e. it has both magnitude as well as direction. |
Q2. Under what condition(s) is the magnitude of average velocity of an object equal to its average speed?
Answer: When an object moves in one direction along a straight line.
Q3. What does the odometer of an automobile measure?
Answer: Odometer of an automobile measures distance travelled by the automobile.
Q4. What does the path of an object look like when it is in uniform motion?
Answer: An object having uniform motion has a straight line path.
Q5. During an experiment, a signal from a spaceship reached the ground station in five minutes. What was the distance of the spaceship from the ground station? The signal travels at the speed of light, that is, 3 × 108 m s−1.
Answer:
Speed= 3 × 108 ms−1
Time= 5 min = 5 × 60 = 300 secs. Distance= Speed × Time
Distance= 3 × 108 ms−1 × 300 secs. = 9 × 1010 m
Questions
Q1. When will you say a body is in (i) uniform acceleration? (ii) non-uniform acceleration?
Answer:
(i) Abody has uniform acceleration if its velocity changes by an equal amount in equal intervals of time. .
(ii) A body has non-uniform acceleration if its velocity changes by unequal amount in equal intervals of time.
Q2. A bus decreases its speed from 80 km h−1 to 60 km h−1 in 5 s. Find the acceleration of the bus.
Answer:

Q3. A train starting from a railway station and moving with uniform acceleration attains a speed 40 km h−1 in 10 minutes. Find its acceleration.
Answer:

Questions
Q1. What is the nature of the distance – ‘time graphs for uniform and non-uniform motion of an object?
Answer: For uniform motion, the distance-time graph is a straight line. On the other hand, the distance-time graph of an object in non-uniform motion is a curve.


The first graph describes the uniform motion and the second one describes the non-uniform motion.
Q2. What can you say about the motion of an object whose distance – time graph is a straight line parallel to the time axis?
Answer: The distance-time graph can be plotted as follows.

Since there is no change in the velocity of the object (Y-Axis value) at any point of time (X-axis value), the object is said to be in uniform motion.
Q3. What can you say about the motion of an object if its speed – ‘time graph is a straight line parallel to the time axis?
Answer: If speed time graph is a straight line parallel to the time axis, the object is moving uniformly.

Q4. What is the quantity which is measured by the area occupied below the velocity -time graph?
Answer: The area below velocity-time graph gives the distance covered by the object.
Questions
Q1. A bus starting from rest moves with a uniform acceleration of 0.1 m s−2 for 2 minutes. Find (a) the speed acquired, (b) the distance travelled.
Answer:
Initial speed of the bus, u= 0
Acceleration, a = 0.1 m/s2
Time taken, t = 2 minutes = 120 s
(a) v= u + at
v= 0 + 0.1 × 120
v= 12 ms–1
(b) According to the third equation of motion:
v2 – u2= 2as
Where, s is the distance covered by the bus
(12)2 – (0)2= 2(0.1) s
s = 720 m
Speed acquired by the bus is 12 m/s.
Distance travelled by the bus is 720 m.
Q2. A train is travelling at a speed of 90 km h−1. Brakes are applied so as to produce a uniform acceleration of −0.5 m s−2. Find how far the train will go before it is brought to rest.
Answer:
Given, initial velocity (u) = 90 km/hour = 25 m.s-1
Terminal velocity (v) = 0 m.s-1
Acceleration (a) = -0.5 m.s-2
As per the third motion equation, v2-u2=2as
Therefore, distance traveled by the train (s) =(v2-u2)/2a
s = (02-252)/2(-0.5) meters = 625 meters
The train must travel 625 meters at an acceleration of -0.5 ms-2 before it reaches the rest position.
Q3. A trolley, while going down an inclined plane, has an acceleration of 2 cm s−2. What will be its velocity 3 s after the start?
Answer:
Here, u = 0,v = ?, a = 2 cm s-2, t = 3 s
Using, v = u + at, we get
v = 0 + 2 x 3 = 6 cm s-2.
Q4. A racing car has a uniform acceleration of 4 m s– 2. What distance will it cover in 10 s after start?
Answer:
Initial Velocity of the car, u=0 ms-1
Acceleration, a= 4 m s-2
Time, t= 10 s
We know Distance, s= ut + (1/2)at2
Therefore, Distance covered by car in 10 second= 0 × 10 + (1/2) × 4 × 102
= 0 + (1/2) × 4 × 10 × 10 m
= (1/2) × 400 m
= 200 m
Q5. A stone is thrown in a vertically upward direction with a velocity of 5 m s−1. If the acceleration of the stone during its motion is 10 m s−2 in the downward direction, what will be the height attained by the stone and how much time will it take to reach there?
Answer:
Given Initial velocity of stone, u=5 m s-1
Downward of negative Acceleration, a= 10 m s-2
We know that 2 as= v2– u2

Exercise
Q1. An athlete completes one round of a circular track of diameter 200 m in 40 s. What will be the distance covered and the displacement at the end of 2 minutes 20 s?
Answer:
Given, diameter of the track (d) = 200m
Therefore, the circumference of the track (π*d) = 200π meters
Distance covered in 40 seconds = 200π meters
Distance covered in 1 second = 200π/40
Distance covered in 2minutes and 20 seconds (140 seconds) = 140 * 200π/40 meters
= (14020022)/(40* 7) meters = 2200 meters
Number of rounds completed by the athlete in 140 seconds = 140/40 = 3.5
Therefore, the final position of the athlete (with respect to the initial position) is at the opposite end of the circular track. Therefore, the net displacement will be equal to the diameter of the track, which is 200m.
Therefore, the net distance covered by the athlete is 2200 meters and the total displacement of the athlete is 200m.
Q2. Joseph jogs from one end A to the other end B of a straight 300 m road in 2 minutes 30 seconds and then turns around and jogs 100 m back to point C in another 1 minute. What are Joseph’s average speeds and velocities in jogging (a) from A to B and (b) from A to C?
Answer:
Total Distance covered from AB = 300 m
Total time taken = 2 × 60 + 30 s
=150 s

Therefore, Average Speed from AB = Total Distance / Total Time
=300 / 150 m s-1
=2 m s-1
Therefore, Velocity from AB =Displacement AB / Time = 300 / 150 m s-1
=2 m s-1
Total Distance covered from AC =AB + BC
=300 + 200 m
Total time taken from A to C = Time taken for AB + Time taken for BC
= (2 × 60+30)+60 s
= 210 s
Therefore, Average Speed from AC = Total Distance /Total Time
= 400 /210 m s-1
= 1.904 m s-1
Displacement (S) from A to C = AB – BC
= 300-100 m
= 200 m
Time (t) taken for displacement from AC = 210 s
Therefore, Velocity from AC = Displacement (s) / Time(t)
= 200 / 210 m s-1
= 0.952 m s-1
Q3. Abdul, while driving to school, computes the average speed for his trip to be 20 km h−1. On his return trip along the same route, there is less traffic and the average speed is 40 km h−1. What is the average speed for Abdul’s trip?
Answer:
Distance travelled to reach the school = distance travelled to reach home = d (say)
Time taken to reach school = t1
Time taken to reach home = t2
therefore, average speed while going to school = total distance travelled/ total time taken = d/t1 = 20 kmph
Average speed while going home = total distance travelled/ total time taken = d/t2= 30 kmph
Therefore, t1 = d/20 and t2 = d/30
Now, the average speed for the entire trip is given by total distance travelled/ total time taken
= (d+d)/(t1+t2)kmph = (d+d)/(d/20+d/30)kmph
= 120/5 kmh-1 = 24 kmh-1
Therefore, Abdul’s average speed for the entire trip is 24 kilometers per hour.
Q4. A motorboat starting from rest on a lake accelerates in a straight line at a constant rate of 3.0 m s−2 for 8.0 s. How far does the boat travel during this time?
Answer: Given Initial velocity of motorboat, u = 0
Acceleration of motorboat, a = 3.0 m s-2
Time under consideration, t = 8.0 s
We know that Distance, s = ut + (1/2)at2
Therefore, The distance travel by motorboat = 0 ×8 + (1/2)3.0 × 82
= (1/2) × 3 × 8 × 8 m
= 96 m
Q5. A driver of a car travelling at 52 km h−1 applies the brakes and accelerates uniformly in the opposite direction. The car stops in 5 s. Another driver going at 3 km h−1 in another car applies his brakes slowly and stops in 10 s. On the same graph paper, plot the speed versus time graphs for the two cars. Which of the two cars travelled farther after the brakes were applied?
Answer:

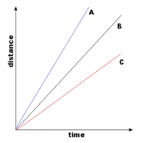
Q6. Fig 8.11 shows the distance-time graph of three objects A, B and C. Study the graph and answer the following questions:

(a) Which of the three is travelling the fastest?
(b) Are all three ever at the same point on the road?
(c) How far has C travelled when B passes A?
(d) How far has B travelled by the time it passes C?
Answer: (a) Speed = Slope of distance-time graph.
Since slope of distance-time graph for object B is the greatest, so object B is travelling the fastest.
(b) All the three objects will be at the same point on the road if all the three distance-time graphs intersect each other at a time. Since, all the three distance-time graphs do not intersect each other at a time, so they are never at the same point on the road.
(c) When B passes A, distance travelled by C = 9.6 – 2 = 7.6 km.
(d) Distance travelled by B by the time it passes C = 6 km.
Q7. A ball is gently dropped from a height of 20 m. If its velocity increases uniformly at the rate of 10 m s−2, with what velocity will it strike the ground? After what time will it strike the ground?
Answer: Let us assume, the final velocity with which ball will strike the ground be ‘v’ and time it takes to strike the ground be ‘t’
Initial Velocity of ball, u =0
Distance or height of fall, s =20 m
Downward acceleration, a =10 m s-2
As we know, 2as =v2-u2
v2 = 2as+ u2
= 2 x 10 x 20 + 0
= 400
∴ Final velocity of ball, v = 20 ms-1
t = (v-u)/a
∴Time taken by the ball to strike = (20-0)/10
= 20/10
= 2 seconds
Q8. The speed-time graph for a car is shown is Fig. 8.12.

(a) Find out how far the car travels in the first 4 seconds. Shade the area on the graph that represents the distance travelled by the car during the period.
(b) Which part of the graph represents uniform motion of the car?
Answer:
Q9. State which of the following situations are possible and give an example for each of these:
(a) an object with a constant acceleration but with zero velocity.
(b) an object moving in a certain direction with an acceleration in the perpendicular direction.
Answer:
Q10. An artificial satellite is moving in a circular orbit of radius 42250 km. Calculate its speed if it takes 24 hours to revolve around the earth.
Answer:
We Think the given NCERT Solutions for class 9 Science book Chapter 8 Motion with Answers Pdf free download will assist you. If you’ve got any queries regarding CBSE Class 9 Science Motion NCERT Solutions with Answers, drop a comment below and that we will come back to you soons.
