We have Provided the NCERT/CBSE Solutions chapter-wise for Class 10 Science Chapter 12 Electricity with Answers by expert subject teacher for latest syllabus and examination. Students can take a free NCERT Solutions of Electricity. Each question has right answer Solved by Expert Teacher.
CBSE Solutions Class 10 Science Electricity
Page No. 200
QUESTIONS
Q1. What does an electric circuit mean?
Answer: A continuous and closed path of an electric current is called an electric circuit. An electric circuit consists of electric devices, source of electricity and wires that are connected with the help of a switch.
Q2. Define the unit of current.
Answer: Define the unit of current.
Answer:
Ampere is the unit of current. When one coulomb of charge flow per second in the circuit, it is known as one ampere.
1A = 1C/1S
Q3. Calculate the number of electrons constituting one coulomb of charge
Answer:

QUESTIONS
Q1. Name a device that helps to maintain a potential difference across a conductor.
Answer: A battery.
Q2. What is meant by saying that the potential difference between two points is 1 V?
Answer: It means that 1 joule work is done in moving 1 coulomb of positive charge from one point to the other in an elecfric field.
Q3. How much energy is given to each coulomb of charge passing through a 6 V battery?
Answer: We know that the potential difference between two points is given by the equation,
V = W/Q, where,
W is the work done in moving the charge from one point to another
Q is the charge
From the above equation, we can find the energy given to each coulomb as follows:
W = V × Q
Substituting the values in the equation, we get
W = 6V × 1C = 6 J
Hence, 6 J of energy is given to each coulomb of charge passing through a 6 V of battery.
Page No.209
QUESTIONS
Q1. On what factors does the resistance of a conductor depend?
Answeer: The resistance of a conductor depends upon the following factors:
→ Length of the conductor
→ Cross-sectional area of the conductor
→ Material of the conductor
→ Temperature of the conductor
Q2. Will current flow more easily through a thick wire or a thin wire of the same material, when connected to the same source? Why?
Answeer: The relation between resistance and the area of cross section can be given as: R∝1/A.
Resistance is inversely proportional to the area of cross-section of the wire. As the resistance decreases, the current increases. Thicker the wire, less current will pass through it whereas thinner the wire, more current will pass.
Q3. Let the resistance of an electrical component remains constant while the potential difference across the two ends of the component decreases to half of its former value. What change will occur in the current through it?
Answeer: According to Ohm’s law
V = IR
⇒ I=V/R … (1)
Now Potential difference is decreased to half
∴ New potential difference Vʹ=V/2
Resistance remains constant
So the new current Iʹ = Vʹ/R
= (V/2)/R
= (1/2) (V/R)
= (1/2) I = I/2
Therefore, the amount of current flowing through the electrical component is reduced by half.
Q4. Why are coils of electric toasters and electric irons made of an alloy rather than a pure metal?
Answeer: The resistivity of an alloy is generally higher than that of its constituent metals but alloys do not oxidise readily at high temperature so they are commonly used in elecricity toasters and electric irons.
Q5. Use the data in Table 12.2 to answer the following –
(a) Which among iron and mercury is a better conductor?
(b) Which material is the best conductor?
Answeer: (a) A material whose resistivity is low is a good conductor of electricity. Therefore, iron is better conductor than mercury.
(b) Silver is the best conductor of electricity.
Page No. 213
QUESTIONS
Q1. Draw a schematic diagram of a circuit consisting of a battery of three cells of 2 V each, a 5 Ω resistor, an 8 Ω resistor, and a 12 Ω resistor, and a plug key, all connected in series.
Answer: The required circuit diagram is shown below :

Q2. Redraw the circuit of Question 1, putting in an ammeter to measure the current through the resistors and a voltmeter to measure the potential difference across the 12 Ω resistor. What would be the readings in the ammeter and the voltmeter?
Answer: Total resistance, Rs = 5 + 8 + 12 = 25 Ω

Page No. 216
QUESTIONS
Q1. Judge the equivalent resistance when the following are connected in parallel – (a) 1 Ω and 106 Ω, (b) 1 Ω and 103 Ω, and 106 Ω.
Answer:
(a) When 1 Ω and 106 are connected in parallel, the equivalent resistance is given by

Therefore, the equivalent resistance is 1 Ω.
(b) When 1 Ω, 103 Ω, and 106 Ω are connected in parallel, the equivalent resistance is given by

Therefore, the equivalent resistance is 0.999 Ω.
Q2. An electric lamp of 100 Ω, a toaster of resistance 50 Ω, and a water filter of resistance 500 Ω are connected in parallel to a 220 V source. What is the resistance of an electric iron connected to the same source that takes as much current as all three appliances, and what is the current through it?
Answer: Resistance of electric lamp, R1 = 100 Ω
Resistance of toaster, R2 = 50 Ω
Resistance of water filter, R3 = 500 Ω
Potential difference of the source, V = 220 V
These are connected in parallel, as shown in the following figure.

Let R be the equivalent resistance of the circuit.

Q3. What are the advantages of connecting electrical devices in parallel with the battery instead of connecting them in series?
Answer: In series the current is constant throughout the electric circuit Thus, it is obviously impracticable to connect an electric bulb and and an electric heater in series because they require currents of widely different values to operate properly. Another major disadvantages of a series circuit is that when one component fails the circuit is broken and none of the components works. On the other hand, a parallel circuit divides the current through the electrical gadgets. The total resistance in a parallel circuit is decreased. This is helpful particularly when each gadget has different resistance and require different current to operate properly.
Q4. How can three resistors of resistances 2 Ω, 3 Ω, and 6 Ω be connected to give a total resistance of (a) 4 Ω, (b) 1 Ω?
Answer: (i) We can get a total resistance of 4Ω by connecting the 2Ω resistance in series with the parallel combination of 3Ω and 6Ω.

(ii) We can obtain a total resistance of 1Ω by connecting resistors of 2 Ω, 3 Ω and 6 Ω in parallel.

Q5. What is (a) the highest, (b) the lowest total resistance that can be secured by combinations of four coils of resistance 4 Ω, 8 Ω, 12 Ω, 24 Ω?
Answer: (a) If the four resistors are connected in series, their total resistance will be the sum of their individual resistances and it will be the highest. The total equivalent resistance of the resistors connected in series will be 4 Ω + 8 Ω + 12 Ω + 24 Ω = 48 Ω.
(b) If the resistors are connected in parallel, then their equivalent resistances will be the lowest.
Their equivalent resistance connected in parallel is

Page No. 218
QUESTIONS
Q1. Why does the cord of an electric heater not glow while the heating element does?
Answer: The heating element of the heater is made up of alloy which has very high resistance so when current flows through the heating element, it becomes too hot and glows red. But the resistance of cord which is usually of copper or aluminium is very law so it does not glow.
Q2. Compute the heat generated while transferring 96000 coulomb of charge in one hour through a potential difference of 50 V.
Answer:

Q3. An electric iron of resistance 20 Ω takes a current of 5 A. Calculate the heat developed in 30 s.
Answer: Here, R = 20 Ω, i = 5 A, t = 3s
Heat developed, H = I2 R t = 25 x 20 x 30 = 15,000 J = 1.5 x 104 J
Page No. 220
QUESTIONS
Q1. What determines the rate at which energy is delivered by a current?
Answer: The rate of consumption of electric energy in an electric appliance is called electric power. Hence, the rate at which energy is delivered by a current is the power of the appliance.
Q2. An electric motor takes 5 A from a 220 V line. Determine the power of the motor and the energy consumed in 2 h.
Answer: Given I = 5 A
V = 220 V
since P = V × I
= 220 V × 5 A
= 1100 V – A
P = 1100 W
Energy consumed in ‘2’ hours
= V × I × t
= 220 volt × 5 A × 2 × 60 × 60 sec
= 7920000 J
Page No. 221
Exercise
Q1. A piece of wire of resistance R is cut into five equal parts. These parts are then connected in parallel. If the equivalent resistance of this combination is R’, then the ratio R/R’ is –
(a) 1/25
(b) 1/5
(c) 5
(d) 25
Answer: (d) 25
Q2. Which of the following terms does not represent electrical power in a circuit?
(a) I2R
(b) IR2
(c) VI
(d) V2/R
Answer: (b) IR2
Q3. An electric bulb is rated 220 V and 100 W. When it is operated on 110 V, the power consumed will be –
(a) 100 W
(b) 75 W
(c) 50 W
(d) 25 W
Answer: (d) 25 W
Q4. Two conducting wires of the same material and of equal lengths and equal diameters are first connected in series and then parallel in a circuit across the same potential difference. The ratio of heat produced in series and parallel combinations would be –
(a) 1:2
(b) 2:1
(c) 1:4
(d) 4:1
Answer: (c) 1:4
Q5. How is a voltmeter connected in the circuit to measure the potential difference between two points?
Answer: A voltmeter is connected in the circuit in parallel to measure the potential difference between two points.
Q6. A copper wire has diameter 0.5 mm and resistivity of 1.6 × 10-8 Ω m. What will be the length of this wire to make its resistance 10 W ? How much does the resistance change if the diameter is doubled ?
Answer: Area of cross-section of the wire, A =π (d/2) 2
Diameter= 0.5 mm = 0.0005 m
Resistance, R = 10 Ω
We know that

Therefore, the length of the wire is 122.7 m and the new resistance is 2.5 Ω.
Q7. The values of current I flowing in a given resistor for the corresponding values of potential difference V across the resistor are given below –
I (amperes) 0.5, 1.0, 2.0, 3.0, 4.0, V (volts) 1.6, 3.4, 6.7, 10.2, 13.2,
Answer:


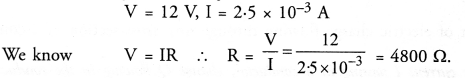
Q8. When a 12 V battery is connected across an unknown resistance, there is a current of 2.5 mA in the circuit. Find the value of resistance of the resistor.
Answer:

Q9. A battery of 9 V is connected in series with resistors of 0.2 Ω, 0.3 Ω, 0.4 Ω, 0.5 Ω and 12 Ω, respectively. How much current would flow through the 12 Ω resistor?
Answer: There is no current division occurring in a series circuit. Current flow through the component is the same, given by Ohm’s law as
V= IR
I= V/R
Where,
R is the equivalent resistance of resistances 0.2 Ω, 0.3 Ω, 0.4 Ω, 0.5 Ω and 12 Ω. These are connected in series. Hence, the sum of the resistances will give the value of R.
R= 0.2 + 0.3 + 0.4 + 0.5 + 12 = 13.4 Ω
Potential difference, V= 9 V
I= 9/13.4 = 0.671 A
Therefore, the current that would flow through the 12 Ω resistor is 0.671 A.
Q10. How many 176 Ω resistors (in parallel) are required to carry 5 A on a 220 V line ?
Answer:
By Ohm’s Law

Let ‘n’ resistors are connected in parallel.

So the no. of resistors will be ‘4’.
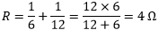
Q11. Show how you would connect three resistors, each of resistance 6 Ω, so that the combination has a resistance of (i) 9 Ω, (ii) 4 Ω.
Answer: If we connect all the three resistors in series, their equivalent resistor would 6 Ω + 6 Ω + 6 Ω =18 Ω, which is not the desired value. Similarly, if we connect all the three resistors in parallel, their equivalent resistor would be

which is again not the desired value.
We can obtain the desired value by connecting any two of the resistors in either series or parallel.
Case (i)

If two resistors are connected in parallel, then their equivalent resistance is

The third resistor is in series, hence the equivalent resistance is calculated as follows:
R = 6 Ω + 3 Ω = 9 Ω
Case (ii)

When two resistors are connected in series, their equivalent resistance is given by
R = 6 Ω + 6 Ω = 12 Ω
The third resistor is connected in parallel with 12 Ω. Hence the equivalent resistance is calculated as follows:

Q12. Several electric bulbs designed to be used on a 220 V electric supply line, are rated 10 W. How many lamps can be connected in parallel with each other across the two wires of 220 V line if the maximum allowable current is 5 A?
Answer:

Q13. A hot plate of an electric oven connected to a 220 V line has two resistance coils A and B, each of 24 Ω resistances, which may be used separately, in series, or in parallel. What are the currents in the three cases?
Answer:


Q14. Compare the power used in the 2 Ω resistor in each of the following circuit (i) a 6 V battery in series with 1 Ω and 2 Ω resistors, and (ii) a 4 V battery in parallel with 12 Ω and 2 Ω resistors.
Answer: (i) The potential difference is 6 V and the resistors 1 Ω and 2 Ω are connected in series, hence their equivalent resistance is given by 1 Ω + 2 Ω = 3 Ω. The current in the circuit can be calculated using the Ohm’s law as follows:

Therefore, the power consumed by the 2 Ω is 8 W.
(ii) When 12 Ω and 2 Ω resistors are connected in parallel, the voltage across the resistors remains the same. Knowing that the voltage across 2 Ω resistor is 4 V, we can calculate the power consumed by the resistor as follows:

The power consumed by the 2 Ω resistor is 8 W.
Q15. Two lamps, one rated 100 W at 220 V, and the other 60 W at 220 V, are connected in parallel to electric mains supply. What current is drawn from the line if the supply voltage is 220 V?
Answer: Both the bulbs are connected in parallel. Therefore, potential difference across each of them will be 220 V, because no division of voltage occurs in a parallel circuit.
Current drawn by the bulb of rating 100 W is given by,Power = Voltage x Current
Current = Power/Voltage = 60/220 A
Hence, current drawn from the line = 100/220 + 60/220 = 0.727 A
Q16. Which uses more energy, a 250 W.T.V. set in 1 hr, or a 1200 W toaster in 10 minutes ?
Answer: Energy used by T.V. in one second = 250 J
So energy used by T.V. in 1 hr i.e., 3600 sec
= 250 × 3600 J = 900000 J
Energy used by a toaster in one second = 1200 J
So energy used by a toaster in 10 minutes i.e., 600 sec
= 1200 × 600 J = 720000 J
Hence T.V. will used more energy than a toaster.
