We have completed the NCERT/CBSE Solutions chapter-wise for Class 9 Science Chapter 10 Gravitation with Answers by expert subject teacher for latest syllabus and examination. Prepare effectively for the exam taking the help of the Class 9 Science NCERT Solutions PDF free of cost from here. Students also can take a free NCERT Solutions of Gravitation. Each question has right answer Solved by Expert Teacher. Download the Science NCERT Solutions with Answers for Class 9 Science Pdf and prepare to help students understand the concept very well.
NCERT Solutions for Class 9 Science Chapter wise
QUESTIONS
Q1. State the universal law of gravitation
Answer: The universal law of gravitation states that every object in the universe attracts every other object with a force called the gravitational force. The force acting between two objects is directly proportional to the product of their masses and inversely proportional to the square of the distance between their centers.
Q2. Write the formula to find the magnitude of the gravitational force between the earth and an object on the surface of the earth.
Answer: Mass of the Earth = ME
Mass of an object on its surface = m.
Radius of the Earth = R
According to the universal law of gravitation, the gravitational force (F) acting between the Earth and the object is given by the relation:
F = Gm1m2/r2
Thus, the formula will be, F = GMEm/R²
QUESTIONS
Q1. What do you mean by free fall?
Answer: Each object is drawn towards the centre of the Earth by its gravity. When any object is released from a certain height, under the impact of gravitational force, it falls to the Earth’s surface. The movement of the object is said to be in free fall.
Q2. What do you mean by acceleration due to gravity?
Answer: The acceleration with which an object falls freely towards the earth is known as acceleration due to gravity. It is denoted by ‘g’.
QUESTIONS
Q1. What are the differences between the mass of an object and its weight?
Answer:
| Mass | Weight |
| 1) Mass of a body is the measure of its inertia. 2) Its S.I. unit is kg. 3) It remains constant everywhere. 4) It is measured by common balance. | 1) Weight of the body is the force with which it is attracted towards the earth (W = m x g). 2) Its S.I. unit is Newton. 3) Its value changes from place to place. 4) It is measured by spring balance. |
Q2. Why is the weight of an object on the moon 1/6th its weight on the earth?
Answer: The mass of moon is 1/100 times and its radius 1/4 times that of earth. As a result, the gravitional attraction on the moon is about one sixth when compared to earth. Hence, the the weight of an object on the moon 1/6th its weight on the earth.
QUESTIONS
Q1. Why is it difficult to hold a school bag having a strap made of a thin and strong string?
Answer: It is tough to carry a school bag having a skinny strap because of the pressure that is being applied on the shoulders. The pressure is reciprocally proportional to the expanse on which the force acts. So, the smaller the surface area, the larger is going to be the pressure on the surface. In the case of a skinny strap, the contact expanse is quite small. Hence, the pressure exerted on the shoulder is extremely huge.
Q2. What do you mean by buoyancy?
Answer: The liquid exerts an upward force on any object when it is immersed in a liquid or fluid. The tendency of the liquid to exert such an upward force on the object is called buoyancy, and the upward force which is exerted on the object by the liquid is called the buoyant force.
Q3. Why does an object float or sink when placed on the surface of water?
Answer:
- An object sink in water if its density is greater than that of water.
- An object floats in water if its density is less than that of water.
QUESTIONS
Q1. You find your mass to be 42 kg on a weighing machine. Is your mass more or less than 42 kg?
Answer: Weighing machine gives the weight of an object.
Weight = Mass x g
Mass= Weight/g
Thus, mass is less than the weight.
Q2. You have a bag of cotton and an iron bar, each indicating a mass of 100 kg when measured on a weighing machine. In reality, one is heavier than other. Can you say which one is heavier and why?
Answer: The bag of cotton is heavier than the iron bar. This is because the surface area of the cotton bag is larger than the iron bar. Hence, more buoyant force acts on the bag than that on an iron bar. This makes the cotton bag heavier than its actual value. For this reason, the iron bar and the bag of cotton show the same mass on the weighing machine, but actually the mass of cotton bag is more that that of the iron bar.
Actual weight = Measured Weight + Buoyant Force
Excercises
Q1. How does the force of gravitation between two objects change when the distance between them is reduced to half?
Answer: According to Universal Law of gravitation, the gravitational force of attraction between any two objects of mass M and m is proportional to the product of their masses and inversely proportional to the square of distance r between them
So, force F is given by

Hence, if the distance is reduced to half, then the gravitational force becomes four times larger than the previous value.
Q2. Gravitational force acts on all objects in proportion to their masses. Why then, a heavy object does not fall faster than a light object?
Answer: All objects fall from the top with a constant acceleration called acceleration due to gravity (g). This is constant on earth and therefore the value of ‘g’ doesn’t depend on the mass of an object. Hence, heavier objects don’t fall quicker than light-weight objects provided there’s no air resistance.
Q3. What is the magnitude of the gravitational force between the earth and a 1 kg object on its surface? (Mass of the earth is 6 × 1024 kg and radius of the earth is 6.4 × 106 m).
Answer:

Q4. The earth and the moon are attracted to each other by gravitational force. Does the earth attract the moon with a force that is greater or smaller or the same as the force with which the moon attracts the earth? Why?
Answer: According to the universal law of gravitation, two objects attract each other with equal force, but in opposite directions. The Earth attracts the moon with an equal force with which the moon attracts the earth.
Q5. If the moon attracts the earth, why does the earth not move towards the moon?
Answer: The Earth and the moon experience equal gravitational forces from each other. However, the mass of the Earth is much larger than the mass of the moon. Hence, it accelerates at a rate lesser than the acceleration rate of the moon towards the Earth. For this reason, the Earth does not move towards the moon.
Q6. What happens to the force between two objects, if
(i) the mass of one object is doubled?
(ii) the distance between the objects is doubled and tripled?
(iii) the masses of both objects are doubled?
Answer: (i) According to universal law of gravitation, the force between 2 objects (m1 and m2) is proportional to their plenty and reciprocally proportional to the sq. of the distance(R) between them.

If the mass is doubled for one object.
F = 2F, so the force is also doubled.
(ii) F is inversely proportional to the square of the distance between the objects. If the distance between the objects is doubled, then the gravitational force becomes one-fourth of its original value. Also, if the distance is tripled, then the gravitational force becomes one-ninth of its original value
(iii) F becomes four times the original value if both m1 and m2 are doubled.
Q7. What is the importance of universal law of gravitation?
Answer: Universal law of Gravitation is important because it it tells us about:
- the force that is responsible for binding us to Earth.
- the motion of moon around the earth
- the motion of planets around the sun
- the tides formed by rising and falling of water level in the ocean are due to the gravitational force exerted by both sun and moon on the earth.
Q8. What is the acceleration of free fall?
Answer: Acceleration due to gravity is the acceleration gained by an object due to gravitational force. On Earth, all bodies experience a downward force of gravity which Earth’s mass exerts on them. The Earth’s gravity is measured by the acceleration of the freely falling objects. At Earth’s surface, the acceleration of gravity is 9.8 ms-2 and it is denoted by ‘g’. Thus, for every second an object is in free fall, its speed increases by about 9.8 metres per second.
Q9. What do we call the gravitational force between the Earth and an object?
Answer: The gravitational force between the earth and an object is called the weight of that object. It is equal to the product of acceleration due to the gravity and mass of the object.
Q10. Amit buys few grams of gold at the poles as per the instruction of one of his friends. He hands over the same when he meets him at the equator. Will the friend agree with the weight of gold bought? If not, why? [Hint: The value of gis greater at the poles than at the equator].
Answer: Weight = mg
Since value of g is greater at the poles than at the equator, so the weight of gold at the poles will be greater than the weight of gold at the equator. Hence, his friend will say that the weight of the gold is less than as told by Amit.
Q11. Why will a sheet of paper fall slower than one that is crumpled into a ball?
Answer: When a sheet of paper is crumbled into a ball, then its density increases. Hence, resistance to its motion through the air decreases and it falls faster than the sheet of paper.
Q12. Gravitational force on the surface of the moon is only 1/6 as strong as gravitational force on the Earth. What is the weight in newtons of a 10 kg object on the moon and on the Earth?
Answer: Given data: Acceleration due to earth’s gravity = ge or g = 9.8 m/s2
Object’s mass, m = 10 kg
Acceleration due to moon gravity = gm
Weight on the earth= We
Weight on the moon = Wm
Weight = mass x gravity
gm = (1/6) ge (given)
So Wm = m gm = m x (1/6) ge
Wm = 10 x (1/6) x 9.8 = 16.34 N
We = m x ge = 10 x 9.8
We = 98N
Q13. A ball is thrown vertically upwards with a velocity of 49 m/s. Calculate
(i) the maximum height to which it rises.
(ii) the total time it takes to return to the surface of the earth.
Answer:
According to the equation of motion under gravity:
v2 – u2 = 2gs
Where,
u = Initial velocity of the ball
v = Final velocity of the ball
s = Height achieved by the ball
g = Acceleration due to gravity
At maximum height, final velocity of the ball is zero, i.e., v= 0
u = 49 m/s
During upward motion, g = -9.8 m s-2
Let h be the maximum height attained by the ball.
Hence,
0 – 492 = 2×9.8×h
⇒ h = 492/(2×9.8)
⇒ h = 2401/19.6 = 122.5
Let t be the time taken by the ball to reach the height 122.5 m, then according to the equation of motion:
v = u + gt
We get,
0 = 49 + t x (- 9.8)
9.8t = 49
t = 49 / 9.8 = 5s
Also,
Time of ascent = Time of descent
Therefore, total time taken by the ball to return = 5 + 5 = 10 s
Q14. A stone is released from the top of a tower of height 19.6 m. Calculate its final velocity just before touching the ground.
Answer: Given data: Initial velocity
u = 0
Tower height = total distance = 19.6m
g = 9.8 m/s2
Consider third equation of motion
v2 = u2 + 2gs
v2 = 0 + 2 × 9.8 × 19.6
v2 = 384.16
v = √(384.16)
v = 19.6m/s
Q15. A stone is thrown vertically upward with an initial velocity of 40 m/s. Taking g = 10 m/s², find the maximum height reached by the stone. What is the net displacement and the total distance covered by the stone?
Answer: According to the equation of motion under gravity:
v2 − u2 = 2 gs
Where,
u = Initial velocity of the stone = 40 m/s
v = Final velocity of the stone = 0
s = Height of the stone
g = Acceleration due to gravity = −10 m s−2
Let h be the maximum height attained by the stone.
Therefore,
0 – (40)2 = 2×h×(-10)
h = (40×40)/20 = 80 m
Therefore, total distance covered by the stone during its upward and downward journey = 80 + 80 = 160 m
Net displacement of the stone during its upward and downward journey
= 80 + (−80) = 0
Q16. Calculate the force of gravitation between the earth and the Sun, given that the mass of the earth = 6 × 1024 kg and of the Sun = 2 × 1030 kg. The average distance between the two is 1.5 × 1011 m.
Answer: Given data:
Mass of the sun ms = 2 × 1030 kg
Mass of the earth me = 6 × 1024 kg
Gravitation constant G = 6.67 x 10-11 N m2/ kg2
Average distance r = 1.5 × 1011 m
Consider Universal law of Gravitation

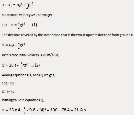
Q17. A stone is allowed to fall from the top of a tower 100 m high and at the same time another stone is projected vertically upwards from the ground with a velocity of 25 m/s. Calculate when and where the two stones will meet.
Answer:
Let t be the point at which two stones meet and let h be their height from the ground.
Height of the tower is H = 100 m (Given)
It is clear from the question that we need to calculate time when the two stones met. After calculating time, we will also be able to calculate the distance.
Now, first consider the stone which falls from the top of the tower.
Initial velocity (u) = 0
So, distance covered by this stone at time t can be calculated using equation of motion

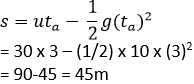
Q18. A ball thrown up vertically returns to the thrower after 6 s. Find
(a) the velocity with which it was thrown up,
(b) the maximum height it reaches, and
(c) its position after 4 s.
Answer: Given data:
g = 10m/s2
Total time T = 6sec
Ta = Td = 3sec
(a) Final velocity at maximum height v = 0
From first equation of motion:-
v = u – gta
u = v + gta
= 0 + 10 x 3
= 30m/s
The velocity with which stone was thrown up is 30m/s.
(b) From second equation of motion

The maximum height stone reaches is 45m.
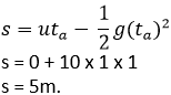
(c) In 3sec, it reaches the maximum height.
Distance travelled in another 1sec = s’

The distance travelled in another 1sec = 5m.
Therefore in 4sec, the position of point p (45 – 5)
= 40m from the ground.
Q19. In what direction does the buoyant force on an object immersed in a liquid act?
Answer: An object immersed in a liquid is acted upon by the buoyant force in the vertically upward direction.
Q20. Why does a block of plastic released under water come up to the surface of water?
Answer: The number of forces acting on a certain item in water are two. The first one is the gravitational force pulling down the object, and the other is the buoyant force pushing up the object. If the buoyant force acting in the upward direction is higher than the gravitational force that is acting downward, then the object goes up to the water’s surface as quickly as it is released into water. That is why a block of plastic released under the water comes up to the surface of the water.
Q21. The volume of 50 g of a substance is 20 cm3. If the density of water is 1 g cm-3, will the substance float or sink?
Answer:
The volume of 50 g of a substance is 20 cm3. If the density of water is 1 g cm-3, will the substance float or sink?
Answer: If the density of an object is more than the density of a liquid, then it sinks in the liquid. On the other hand, if the density of an object is less than the density of a liquid, then it floats on the surface of the liquid.
Here, density of the substance = Mass of the substance / Volume of the substance
= 50/20
= 2.5 g cm-3
The density of the substance is more than the density of water (1 g cm−3). Hence, the substance will sink in water.
Q22. The volume of a 500 g sealed packet is 350 cm3. Will the packet float or sink in water if the density of water is 1 g cm−3? What will be the mass of the water displaced by this packet?
Answer:
Density of sealed packet = 500/350 = 1.42 g/cm3
Density of sealed packet is greater than density of water
Therefore the packet will sink.
Considering Archimedes Principle,
Displaced water volume = Force exerted on the sealed packet.
Volume of water displaced = 350cm3
Therefore displaced water mass = ρ x V
= 1 × 350
Mass of displaced water = 350g.
We Think the given NCERT Solutions for class 9 Science book Chapter 10 Gravitation with Answers Pdf free download will assist you. If you’ve got any queries regarding CBSE Class 9 Science Gravitation NCERT Solutions with Answers, drop a comment below and that we will come back to you soons.
