We have completed the NCERT/CBSE Solutions chapter-wise for Class 9 Science Chapter 11 Work and Energy with Answers by expert subject teacher for latest syllabus and examination. Prepare effectively for the exam taking the help of the Class 9 Science NCERT Solutions PDF free of cost from here. Students also can take a free NCERT Solutions of Work and Energy. Each question has right answer Solved by Expert Teacher. Download the Science NCERT Solutions with Answers for Class 9 Science Pdf and prepare to help students understand the concept very well.
NCERT Solutions for Class 9 Science Chapter wise
Questions
Q1. A force of 7 N acts on an object. The displacement is, say 8 m, in the direction of the force (Fig. 11.3). Let us take it that the force acts on the object through the displacement. What is the work done in this case?

Answer: We know that if force F acting on an object to displace it through a distance S in one direction, then the work done W on the body by the force is given by: Work done = Force × Displacement
W = F × S
Where,
F = 7 N
S = 8 m
Therefore, work done, W = 7 × 8
= 56 Nm
= 56 J
Questions
Q1. When do we say that work is done?
Answer: Work is completed whenever the given conditions are satisfied:
(i) A force acts on the body.
(ii) There’s a displacement of the body by applying force in or opposite to the direction of the force.
Q2. Write an expression for the work done when a force is acting on an object in the direction of its displacement.
Answer: W = FS
Q3. Define 1 J of work.
Answer: Work is said to be 1 J if 1N force displaces an object through 1 metre in its own direction.
Q4. A pair of bullocks exerts a force of 140 N on a plough. The field being ploughed is 15 m long. How much work is done in ploughing the length of the field?
Answer: Work done by the bullocks is given by the expression:
Work done = Force × Displacement
W = F × d
Where,
Applied force, F = 140 N
Displacement, d = 15 m
W = 140 × 15 = 2100 J
Hence, 2100 J of work is done in ploughing the length of the field.
Questions
Q1. What is the kinetic energy of an object?
Answer: The energy possessed by a body by the virtue of its motion is called kinetic energy. Every moving object possesses kinetic energy. A body uses kinetic energy to do work. Kinetic energy of hammer is used in driving a nail into a log of wood, kinetic energy of air is used to run wind mills, etc.
Q2. Write an expression for the kinetic energy of an object.
Answer: If a body of mass m is moving with a speed v, then its K.E. Ek is given by the expression,
Ek = 1/2 m v2
Its SI unit is Joule (J).
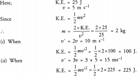
Q3. The kinetic energy of an object of mass, m moving with a velocity of 5 m s−1 is 25 J. What will be its kinetic energy when its velocity is doubled? What will be its kinetic energy when its velocity is increased three times?
Answer:

Questions
Q1. What is power?
Answer: ower is the rate of doing work or the rate of transfer of energy. If W is the amount of work done in time t, then power is given by the expression,
Power= Work/Time = Energy/Time
P = W/T
It is expressed in watt (W).
Q2. Define 1 watt of power.
Answer: A body is claimed to possess power of one watt if it will work on the speed of 1 joule in 1 s.
That is,
One W = 1 J/1 S
Q3. A lamp consumes 1000 J of electrical energy in 10 s. What is its power?
Answer:

Exercises
Q1. Look at the activities listed below. Reason out whether or not work is done in the light of your understanding of the term ‘work’.
- Suma is swimming in a pond.
- A donkey is carrying a load on its back.
- A wind mill is lifting water from a well.
- A green plant is carrying out photosynthesis.
- An engine is pulling a train.
- Food grains are getting dried in the sun.
- A sailboat is moving due to wind energy.
Answer: (a) Work is done (Reaction (Force) of water on Suma during swimming displaces Suma in the forward direction).
(b) No work is done (Force of gravity acting on the load is perpendicular to the displacement of the load).
(c) Work is done (Force displaces water in the upward direction).
(d) No work is done (There is no force and no displacement during photosynthesis).
(e) Work is done (Force displaces the train.)
(f) No work is done (There is no external force and no displacement of the grains.)
(g) Work is done (Force acting on the sail boat displaces the boat).
Q2. An object thrown at a certain angle to the ground moves in a curved path and falls back to the ground. The initial and the final points of the path of the object lie on the same horizontal line. What is the work done by the force of gravity on the object?
Answer: Work done by the force of gravity on an object depends only on vertical displacement. Vertical displacement is given by the difference in the initial and final positions/heights of the object, which is zero.
Work done by gravity is given by the expression,
W = mgh
Where,
h = Vertical displacement = 0
W = mg × 0 = 0 J
Therefore, the work done by gravity on the given object is zero joule.
Q3. A battery lights a bulb. Describe the energy changes involved in the process.
Answer: When a bulb is connected to a battery, then the chemical energy of the battery is transferred into electrical energy. When the bulb receives this electrical energy, then it converts it into light and heat energy. Hence, the transformation of energy in the given situation can be shown as:
Chemical Energy → Electrical Energy → Light Energy + Heat Energy
Q4. Certain force acting on a 20 kg mass changes its velocity from 5 m s−1 to 2 m s−1. Calculate the work done by the force.
Answer: Given Initial velocity u = 5 m/s
Mass of the body = 20kg
Final velocity v = 2 m/s
The initial kinetic energy
Ei = (1/2) mu2 = (1/2) × 20 × (5)2
= 10 × 25
= 250 J
Final kinetic energy
Ef = (1/2) mv2 = (1/2) × 20 × (2)2
= 10 × 4
= 40 J
Therefore,
Work done = Change in kinetic energy
Work done = Ef – Ei
Work done = 40 J – 250 J
Work done = -210 J
Q5. A mass of 10 kg is at a point A on a table. It is moved to a point B. If the line joining A and B is horizontal, what is the work done on the object by the gravitational force? Explain your answer.
Answer: Work done by the gravitational force = mgh
Since h = 0 (because both points A and B are at the same height.)
∴ Work done = 0.
Q6. The potential energy of a freely falling object decreases progressively. Does this violate the law of conservation of energy? Why?
Answer: When the body drops from a height, its potential energy changes into kinetic energy progressively. A decrease in the potential energy is equivalent to an increase in the kinetic energy of the body.
During this process, the total mechanical energy of the body is conserved. Therefore, the law of conservation of energy is not violated.
Q7. What are the various energy transformations that occur when you are riding a bicycle?
Answer: While riding a bicycle, the muscular energy of the rider gets transferred into heat energy and kinetic energy of the bicycle. Heat energy heats the rider’s body. Kinetic energy provides a velocity to the bicycle. The transformation can be shown as:
Mascular Energy → Kinetic Energy + Heat Energy
During the transformation, the total energy remains conserved.
Q8. Does the transfer of energy take place when you push a huge rock with all your might and fail to move it? Where is the energy you spend going?
Answer: When we push a huge rock, there is no transfer of muscular energy to the stationary rock. Also, there is no loss of energy because muscular energy is transferred into heat energy, which causes our body to become hot.
Q9. A certain household has consumed 250 units of energy during a month. How much energy is this in joules?
Answer: 1 unit of energy = 1kWh
Given Energy (E) = 250 units
1 unit = 1 kWh
1 kWh = 3.6 x 106 J
Therefore, 250 units of energy = 250 × 3.6 × 106
= 9 × 108 J.
Q10. An object of mass 40 kg is raised to a height of 5 m above the ground. What is its potential energy? If the object is allowed to fall, find its kinetic energy when it is half-way down.
Answer:
- Potential energy = mgh
= 40 kg x 10 m s-2 x 5 m = 2000 J. - According to the law of conservation of energy :
K.E. when it is half-way down = P.E. when it is half-way down

Q11. What is the work done by the force of gravity on a satellite moving round the earth? Justify your answer.
Answer: When the direction of force is perpendicular to displacement, the work done is zero. If a satellite moves around the Earth the direction of force of gravity on the satellite is perpendicular to its displacement. Therefore, the work done on the satellite by the Earth is zero.
Q12. Can there be displacement of an object in the absence of any force acting on it? Think. Discuss this question with your friends and teacher.
Answer: Yes. For a uniformly moving object. Suppose an object is moving with constant velocity. The net force acting on it is zero. But, there is a displacement along the motion of the object. Hence, there can be a displacement without a force.
Q13. A person holds a bundle of hay over his head for 30 minutes and gets tired. Has he done some work or not? Justify your answer.
Answer: Work is done whenever the given two conditions are satisfied:
- A force acts on the body.
- There is a displacement of the body by the application of force in or opposite to the direction of force.
When a person holds a bundle of hay over his head, then there is no displacement in the bundle of hay. Although, force of gravity is acting on the bundle, the person is not applying any force on it. Hence, in the absence of force, work done by the person on the bundle is zero.
Q14. An electric heater is rated 1500 W. How much energy does it use in 10 hours?
Answer: Given Power of the heater = 1500 W = 1.5 kW
Time taken = 10 hours
Energy consumed by an electric heater can be obtained with the help of the expression
Power = Energy consumed / Time taken
Hence,
Energy consumed = Power x Time taken
Energy consumed = 1.5 x 10
Energy consumed = 15 kWh
Therefore, the energy consumed by the heater in 10 hours is 15 kWh.
Q15. Illustrate the law of conservation of energy by discussing the energy changes which occur when we draw a pendulum bob to one side and allow it to oscillate. Why does the bob eventually come to rest? What happens to its energy eventually? Is it a violation of the law of conservation of energy?
Answer: Consider the case of oscillation pendulum.

When an apparatus moves from its mean position P to either of its extreme positions A or B, it rises through a height h on top of the mean level P. At this time, the K.E. of the bob changes fully into P.E. The K.E. becomes zero, and also the bob possesses solely P.E. Because it moves towards purpose P, its P.E. decreases increasingly. Consequently, the K.E. will increase. Because the bob reaches purpose P, its P.E. becomes zero and also the bob possesses solely K.E. This method is perennial as long because the apparatus oscillates.
The bob doesn’t oscillate forever. It involves rest as a result of air resistance resists its motion. The apparatus loses its K.E. to beat this friction and stops once a while. The law of conservation of energy isn’t desecrated as a result of the energy lost by the apparatus to beat friction is gained by its surroundings. Hence, the overall energy of the apparatus and also the encompassing system stay preserved.
Q16. An object of mass, mis moving with a constant velocity, v. How much work should be done on the object in order to bring the object to rest?
Answer:

Q17. Calculate the work required to be done to stop a car of 1500 kg moving at a velocity of 60 km/h?
Answer: Kinetic energy, Ek = 1/2 mv2
Where,
Mass of car, m = 1500 kg
Velocity of car, v = 60 km/h = 60 × 5/18 ms-1

Hence, 20.8 x 104 J of work is required to stop the car.
Q18. In each of the following a force, F is acting on an object of mass, m. The direction of displacement is from west to east shown by the longer arrow. Observe the diagrams carefully and state whether the work done by the force is negative, positive or zero.
Answer:

Case I
In this case, the direction of force acting on the block is perpendicular to the displacement. Therefore, work done by force on the block will be zero.
Case II
In this case, the direction of force acting on the block is in the direction of displacement. Therefore, work done by force on the block will be positive.
Case III
In this case, the direction of force acting on the block is opposite to the direction of displacement. Therefore, work done by force on the block will be negative.
Q19. Soni says that the acceleration in an object could be zero even when several forces are acting on it. Do you agree with her? Why?
Answer: Acceleration in associate object might be zero even once many forces are working on it. This happens once all the forces get rid of one another i.e., the online force working on the thing is zero. For a uniformly moving object, the online force working on the thing is zero. Hence, the acceleration of the thing is zero. Hence, Soni is correct.
Q20. Find the energy in kW h consumed in 10 hours by four devices of power 500 W each.
Answer: Total power, P = 500 W x 4 = 2000 W
Time, t = 10 h
∴ Energy consumed = Power x Time
= 2000 W x 10 h = 20,000 Wh = 20 kWh.
Q21. A freely falling object eventually stops on reaching the ground. What happens to its kinetic energy?
Answer: Kinetic energy is converted into sound energy and heat energy.
