We have Provided the NCERT/CBSE Solutions chapter-wise for Class 10 Science Chapter 10 Light Reflection and Refraction with Answers by expert subject teacher for latest syllabus and examination. Students can take a free NCERT Solutions of Light Reflection and Refraction. Each question has right answer Solved by Expert Teacher.
CBSE Solutions Class 10 Science Light Reflection and Refraction
Page No. 168
QUESTIONS
Q1. Define the principal focus of a concave mirror.
Answer: Light rays that are parallel to the principal axis of a concave mirror converge at a specific point on its principal axis after reflecting from the mirror. This point is called the principal focus of the concave mirror.
Q2. The radius of curvature of a spherical mirror is 20 cm. What is its focal length?
Answer: Radius of curvature, R= 20 cm
Radius of curvature of a spherical mirror = 2 × Focal length (f)R= 2f
f= R/2 = 20 / 2 = 10
Hence, the focal length of the given spherical mirror is 10 cm.
Q3. Name a mirror that can give an erect and enlarged image of an object.
Answer: If the object is placed between pole and the principal focus of a concave mirror the image formed is virtual, erect and enlarged.
Q4. Why do we prefer a convex mirror as a rear-view mirror in vehicles?
Answer: We prefer a convex mirror as a rear-view mirror in vehicles because it gives a wider field of view, which allows the driver to see most of the traffic behind him. Convex mirrors always form a virtual, erect, and diminished image of the objects placed in front of it.
Page No. 171
QUESTIONS
Q1. Find the focal length of a convex mirror whose radius of curvature is 32 cm.
Answer: R = 2f
∴ f = R/2 = 32cm/2 = 16 cm
Q2. A concave mirror produces three times magnified (enlarged) real image of an object placed at 10 cm in front of it. Where is the image located?
Answer:
m – -3, But m = -v/u, so v = 3u
u = -10 cm
v = 3 (-10 cm) =-30 cm
Thus, the image is located at a distance of 30 cm to the left side of the concave mirror.
Page No. 176
QUESTIONS
Q1. A ray of light travelling in air enters obliquely into water. Does the light ray bend towards the normal or away from the normal? Why?
Answer: The light-ray bends towards the normal because the ray of light goes from a rarer medium to a denser medium.
Q2. Light enters from air to glass having refractive index 1.50. What is the speed of light in the glass? The speed of light in vacuum is 3 × 108 m s–1.
Answer: Given: refractive index, μ = 1.5, speed of light in vacuum
c = 3 x 108 m s-1 v = ?

Q3. Find out, from Table 10.3, the medium having highest optical density. Also find the medium with lowest optical density.
Answer:
Lowest optical density = Air
Highest optical density = Diamond
The optical density of a medium is directly related to its refractive index. A medium with the highest refractive index will have the highest optical density and vice-versa.
It can be observed from the table that air and diamond respectively have the lowest and highest refractive index. Hence, air has the lowest optical density and diamond has the highest optical density.
Q4. You are given kerosene, turpentine and water. In which of these does the light travel fastest? Use the information given in Table 10.3.
Answer: In water light travel faster as compare to kerosene and turpentine because the refractive index of water is lower than that of kerosene and turpentine. The speed of light is inversely proportional to the refractive index.
Q5. The refractive index of diamond is 2.42. What is the meaning of this statement?
Answer: The refractive index of diamond is 2.42. This means that the speed of light in diamond will reduce by a factor of 2.42 as compared to its speed in air.
In other words, the speed of light in diamond is 1/2.42 times the speed of light in vacuum.
Page No. 184
QUESTIONS
Q1. Define 1 dioptre of power of a lens.
Answer: 1 dioptre is the power of a lens whose focal length is 1 metre.
Q2. A convex lens forms a real and inverted image of a needle at a distance of 50 cm from it. Where is the needle placed in front of the convex lens if the image is equal to the size of the object? Also, find the power of the lens.
Answer:

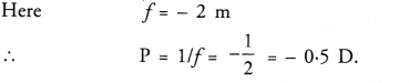
Q3. Find the power of a concave lens of focal length 2 m.
Answer:

Page No: 185
Exercise
Q1. Which one of the following materials cannot be used to make a lens?
(a) Water
(b) Glass
(c) Plastic
(d) Clay
(d) Clay
Q2. The image formed by a concave mirror is observed to be virtual, erect and larger than the object. Where should be the position of the object?
(a) Between the principal focus and the centre of curvature
(b) At the centre of curvature
(c) Beyond the centre of curvature
(d) Between the pole of the mirror and its principal focus.
(d) Between the pole of the mirror and its principal focus.
Q3. Where should an object be placed in front of a convex lens to get a real image of the size of the object?
(a) At the principal focus of the lens
(b) At twice the focal length
(c) At infinity
(d) Between the optical centre of the lens and its principal focus.
(b) At twice the focal length
Q4. A spherical mirror and a thin spherical lens have each a focal length of -15 cm. The mirror and the lens are likely to be
(a) both concave
(b) both convex
(c) the mirror is concave and the lens is convex
(d) the mirror is convex, but the lens is concave
(a) both concave
Q5. No matter how far you stand from a mirror, your image appears erect. The mirror is likely to be
(a) plane
(b) concave
(c) convex
(d) either plane or convex
(d) either plane or convex
Q6. Which of the following lenses would you prefer to use while reading small letters found in a dictionary?
(a) A convex lens of focal length 50 cm
(b) A concave lens of focal length 50 cm
(c) A convex lens of focal length 5 cm
(d) A concave lens of focal length 5 cm
(c) A convex lens of focal length 5 cm
Q7. We wish to obtain an erect image of an object, using a concave mirror of focal length 15 cm. What should be the range of distance of the object from the mirror? What is the nature of the image? Is the image larger or smaller than the object? Draw a ray diagram to show the image formation in this case.
Answer: To obtain an erect image of an object it should be placed between ‘P’ and ‘F’ i.e., between pole and pricipal focus. So the range of the distance of the object from the mirror will be greater than zero and less than fifteen.
The image will be virtual and formed behind the mirror. The image is larger than the object.

Q8. Name the type of mirror used in the following situations.
(a) Headlights of a car
(b) Side/rear-view mirror of a vehicle
(c) Solar furnace
Support your answer with reason.
Answer: (a) Concave mirror. When a bulb is placed at the focus of a concave mirror, then the beam of light from the bulb after reflection from the concave mirror goes as a parallel beam which lights up the front road.
(b) Convex mirror. Image formed by a convex mirror is erect and small in size. The field of view behind the vehicle is large.
(c) Concave mirror. Concave mirror focuses rays of light coming from the sun at its focus. So, the temperature at the focus is raised.
Q9. One-half of a convex lens is covered with a black paper. Will this lens produce a complete image of the object? Verify your answer experimentally. Explain your observations.
Answer: A convex lens forms complete image of an object, even if its one half is covered with black paper. It can be explained by considering following two cases.
Case I : When the upper half of the lens is covered
In this case, a ray of light coming from the object will be refracted by the lower half of the lens. These rays meet at the other side of the lens to form the image of the given object, as shown in the following figure.

Case II: When the lower half of the lens Is covered
In this case, a ray of light coming from the object is refracted by the upper half of the lens. These rays meet at the other side of the lens to form the image of the given object, as shown in the given figure.

Q10. An object 5 cm in length is held 25 cm away from a converging lens of focal length 10 cm. Draw the ray diagram and find the position, size and the nature of the image formed.
Answer: The ray diagram is shown below:


Q11. A concave lens of focal length 15 cm forms an image 10 cm from the lens. How far is the object placed from the lens? Draw the ray diagram.
Answer: Focal length of concave lens (OF1), f = – 15 cm
Image distance, v= – 10 cm
According to the lens formula,

The negative value of u indicates that the object is placed 30 cm in front of the lens. This is shown in the following ray diagram.

Q12. An object is placed at a distance of 10 cm from a convex mirror of focal length 15 cm. Find the position and nature of the image.
Answer: Focal length of convex mirror, f= +15 cm
Object distance, u= – 10 cm
According to the mirror formula,

The image is located at a distance 6 cm from the mirror on the other side of the mirror.
The positive and value less than 1 of magnification indicates that the image formed is virtual and erect and diminished.
Q13. The magnification produced by a plane mirror is +1. What does this mean?
Answer: Magnification (m)

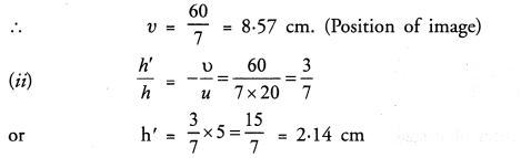
Q14. An object 5 cm is placed at a distance of 20 cm in front of a convex mirror of radius of curvature 30 cm. Find the position, nature and size of the image.
Answer: h = 5 cm, u = -20 cm


Since h’ is positive, so image is erect and virtual.
Q15. An object of size 7.0 cm is placed at 27 cm in front of a concave mirror of focal length 18 cm. At what distance from the mirror should a screen be placed, so that a sharp focused image can be obtained? Find the size and the nature of the image.
Answer: Object distance (u) = – 27 cm
Object height (h) = 7 cm
Focal length (f) = – 18 cm
According to the mirror formula,

Q16. Find the focal length of a lens of power -2.0 D. What type of lens is this?
Answer: Power of lens (P) = 1/f
P = -2D
f = -1/2 = -0.5 m
A concave lens has a negative focal length. Therefore, it is a concave lens.
Q17. A doctor has prescribed a corrective lens of power +1.5 D. Find the focal length of the lens. Is the prescribed lens diverging or converging?
Answer: Power of lens (P) = 1/f
P = 1.5D
f = 1/1.5 = 10/15 = 0.66 m
A convex lens has a positive focal length. Therefore, it is a convex lens or a converging lens.
We Think the given NCERT Solutions for class 10 Science Chapter 10 Light Reflection and Refraction with Answers Pdf free download will assist you. If you’ve got any queries regarding CBSE Class 10 Science Light Reflection and Refraction NCERT Solutions with Answers, drop a comment below and that we will come back to you soons.
